基于InAs量子点光电二极管的CMOS集成红外成像
2025-11-23 18:56:32 来源:麦姆斯咨询 评论:0 点击:
无重金属的III–V族半导体胶体量子点(CQDs),例如砷化铟(InAs),是近红外(NIR)和短波红外(SWIR)探测器的理想候选材料。然而,由于在大尺寸InAs量子点的合成、结形成与表面钝化方面仍存在挑战,目前的研究仍主要集中于1100 nm以下的波长。针对更大尺寸InAs量子点的器件设计、反向暗电流机制以及陷阱态分布的系统研究仍然较少。
据麦姆斯咨询报道,近期,比利时微电子研究中心(imec)和鲁汶大学(KU Leuven)的研究人员组成的团队提出了一种薄膜PIN异质结InAs胶体量子点光电二极管堆叠结构,其载流子传输层采用非晶铟镓锌氧化物(IGZO)与碘化铜(CuI)。该器件在−1 V、298 K条件下呈现了4.7 μA/cm²的极低暗电流密度(已知最低值之一),并在220 K时降至3.6 nA/cm²。温度依赖的电流–电压特性及活化能分析证实暗电流随外加电场增强而发生热驱动增长。阻抗谱分析揭示了InAs胶体量子点层中占主导的深陷阱态为导带尾态,可延伸至带边下约0.4 eV,其能态密度约为2 × 10¹⁶ cm⁻³。耗尽区InAs胶体量子点层内载流子密度随温度升高而增加、内建电势降低,反映出N层与P层中的陷阱态填充与费米能级钉扎效应。当频率≥500 Hz时,比探测率(D*)接近理论计算极限2.5 × 10¹¹ Jones。最后,研究人员通过将该光电二极管与硅基读出电路(ROIC)单片集成,实现了超出CMOS图像传感器光谱范围的红外成像(1200 nm)。上述研究成果以“InAs Colloidal Quantum Dot Photodiode Stack for CMOS-Integrated Infrared Imaging”为题发表于ACS Nano期刊。
器件设计与性能表征
如图1a和1b所示,硅片上的完整InAs量子点光电二极管(QDPD)堆叠结构包括TiN、IGZO、InBr₃处理的InAs胶体量子点、CuI、聚合物PTB7-Th、MoOₓ以及ITO。图1c展示了InAs-InBr₃、IGZO和CuI的紫外光电子能谱(UPS),显示了二次电子(SE)截止、价带顶(VBM)以及费米边。利用图1c中UPS测试提取的电离能(IE)和功函数(WF),结合研究团队前期工作中TiN、PTB7-Th、MoOₓ和ITO的能级值,构建了完整堆叠的真空参考(0 eV)能带图,如图1d所示。

图1 InAs胶体量子点光电二极管设计
图2a展示了InAs胶体量子点光电二极管在暗态和红外LED照明(1200 nm,约3.5 mW/cm²)下的电流-电压(J-V)特性曲线,在−1 V时,光电流与暗电流的比值约为2.6个数量级。光电流响应表明,在平衡态下InAs-InBr₃层为部分耗尽状态,而当反向偏压超过0.5 V时可实现完全耗尽。图2b和2c分别展示了在−1 V偏压下测得的外量子效率(EQE)与响应度随波长的变化,以及在1210 nm时EQE随反向偏压的变化。图2d显示了在不同照明功率下的反向偏置光电流密度,表现出良好的线性关系。

图2 InAs胶体量子点光电二极管的性能表征
研究人员精确测量了InAs胶体量子点光电二极管在−1 V和−2 V下的噪声功率谱密度(图2e),并同时计算了散粒噪声、热噪声以及仪器本底噪声。图2f绘制了基于测量噪声与散粒噪声极限计算的D*。在−1 V偏压下,1 Hz处噪声限制的D*被高估约1.97个数量级,10 Hz处高估约1.52个数量级,而当频率≥500 Hz时,D*接近理论计算的散粒噪声极限值2.5 × 10¹¹ Jones。
暗反向偏置载流子动力学的温度依赖性解析
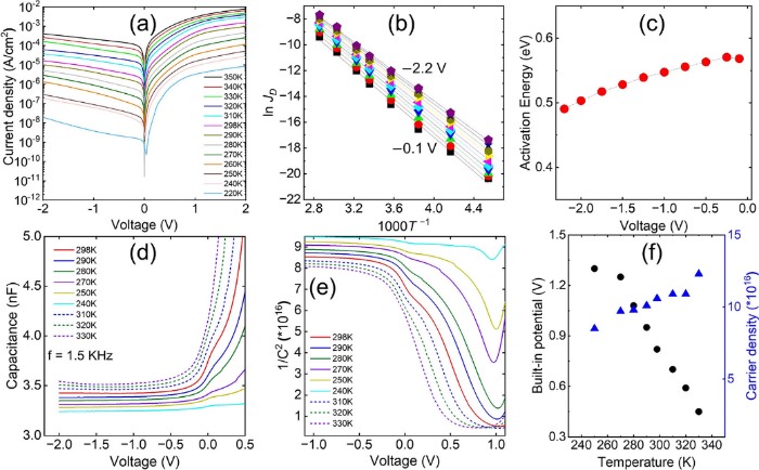
为了更好地理解器件载流子动力学并进一步优化器件性能,研究反向暗电流的起源非常重要。为此,研究人员首先在220–350 K温度范围内表征了暗准静态J-V曲线(图3a)。将温度降至220 K可将暗电流密度降低至3.6 nA/cm²,而升至350 K时则增加至215 μA/cm²,显示暗电流具有热激活特性。

图3 温度相关的J-V特性与C-V特性
鉴于载流子产生的热激活特性,温度预计会影响器件的内建电势(Vbi)和载流子浓度,因为陷阱态占据与释放过程会改变空间电荷分布。研究人员在低温及高于298 K的高温下,以1.5 kHz频率测量了器件的电容-电压(C-V)特性,以便进行莫特-肖特基(Mott-Schottky)分析(图3d和3e)。通过莫特-肖特基线性拟合得到室温下Vbi为0.82 V,载流子浓度为1.06 × 10¹⁷ cm⁻³。随着温度升高至330 K,载流子浓度增加至1.23 × 10¹⁷ cm⁻³,这可能是由于热激活的陷阱态填充所致。器件冷却至250 K时,载流子浓度下降至8.50 × 10¹⁶ cm⁻³,与陷阱态冻结行为一致。提取的Vbi变化趋势与载流子浓度变化一致,这是由于较高的自由载流子浓度导致耗尽层宽度变窄、结区电势下降,并可能引发费米能级钉扎(Fermi pinning)效应。
为了全面量化陷阱态,研究人员在330–77 K的温度范围内测量了器件的电容–频率(C-f)谱,覆盖高于室温和低温条件,结果如图4a所示。图4b显示了不同温度下的陷阱态密度与能级及其高斯拟合。

图4 不同温度下的C-f特性
研究人员结合UPS提取的能带结构与基于阻抗谱的陷阱态量化结果,以可视化方式展示完整薄膜InAs光电二极管结构中的暗载流子动力学(图5)。热力学平衡条件下的费米(0 eV)参考能带图(图5a)显示,暗态下热生载流子(电子)可以轻易地发射进入IGZO层。InAs胶体量子点层内同时存在浅陷阱态和深陷阱态,使得载流子能够通过多个能级进行热辅助跃迁,从而促进载流子被激发至导带。该过程中产生的空穴可以穿过CuI的价带,经由PTB7-Th层,并最终到达MoOx层,在那里它们很可能发生复合。在施加反向偏压条件下(图5b),热生载流子的产生进一步增强,与场依赖活化能分析中观察到的趋势一致。

图5 器件中的载流子动力学
成像芯片:InAs胶体量子点光电二极管与硅基读出电路单片集成
为验证所提出的InAs胶体量子点光电二极管的成像能力,研究人员将像素化光电二极管阵列与CMOS读出电路(ROIC)单片集成。该光电二极管阵列基于130 nm CMOS工艺制备的ROIC开发,采用标准的三晶体管(3T)像素架构,像素间距为5 μm。最终实现的阵列包含512 × 768个像素,光照通过顶部的ITO电极入射,光生载流子由底部电极收集,并通过ROIC中像素电容进行电荷积分读出。演示图像是在卤素灯照明、−3 V偏压以及37.5 μs积分时间下拍摄的。
图6a和6b展示了单片集成在硅基ROIC上的InAs胶体量子点光电二极管像素阵列,而图6c显示了封装和引线键合后的完整成像芯片。为突出基于InAs胶体量子点光电二极管的成像仪的红外成像能力,研究人员准备了两个深棕色玻璃瓶,装填不同的常见材料。瓶1含有茶叶、巧克力、咖啡和土壤;瓶2含有食盐(NaCl)、蔗糖(C₁₂H₂₂O₁₁)和碳酸氢钠(NaHCO₃)。如图6d所示,使用智能手机摄像头拍摄的参考图像由于棕色玻璃对可见光的强吸收,几乎无法区分瓶1中的内容物。相比之下,基于InAs胶体量子点光电二极管的成像仪(图6e)通过1200 nm处材料特定的反射与吸收特性,可清晰地区分瓶1中的不同物质。对于瓶2,在可见光下这些粉末几乎难以区分,而基于InAs胶体量子点光电二极管的成像仪能够有效解析它们的差异。值得注意的是,塑料瓶盖在红外图像中表现得极为明亮,这是由于其对1200 nm光的强烈反射,导致图像呈现过曝状态,使得瓶盖上的“imec”标签不可见。

图6 基于InAs胶体量子点光电二极管的成像芯片与成像实验
小结
综上所述,这项研究提出了一种薄膜InAs胶体量子点光电二极管,其在1200 nm处实现了低暗电流、高效红外探测,并成功实现与CMOS ROIC的单片集成。通过温度依赖的J–V、C–V和C–f谱分析,识别出热激活传输机制,并提取出导带下方的陷阱态:一系列浅尾态,导致0.36 ± 0.05 eV的深陷阱态。研究人员揭示了这些陷阱态在载流子产生与噪声中的关键作用。该光电二极管可在1200 nm处实现红外成像,呈现出超出可见光范围的强材料特异性对比度。从器件堆叠结构设计到暗载流子动力学的全面分析强调了改进钝化策略和优化结工程的必要性,以进一步提高器件性能。这些研究结果加深了对陷阱态限制下载流子动力学在量子点光电二极管中的理解,并为实现高分辨率、CMOS兼容的近红外与短波红外成像技术提供了一条可扩展的路径。
论文链接:https://doi.org/10.1021/acsnano.5c11108
延伸阅读:
