AlN压电环形MEMS陀螺仪,性能达到硅基压电陀螺仪最高水平
2026-03-06 15:33:25 来源:麦姆斯咨询 评论:0 点击:
基于微机电系统(MEMS)技术的陀螺仪凭借微型化、低功耗与可批量制造等优势,已成为汽车导航、工业自动化及消费电子等领域实现高精度运动感知的关键器件。在各类机电换能机制中,静电陀螺仪长期占据性能标杆地位,产品精度已接近导航级水平。然而,这类器件仍存在制造与集成复杂、鲁棒性受限等问题。相比之下,压电陀螺仪提供了一种极具吸引力的替代方案,其具有机电耦合效率高、线性驱动范围宽且无需施加直流偏置电压等优势。
据麦姆斯咨询报道,近期,中国科学院空天信息创新研究院邹旭东教授团队提出一种基于氮化铝(AlN)的高性能压电环形MEMS偏航陀螺仪。该器件采用单晶硅平台制备而成,品质因数(Q值)达到75000,为目前已报道的硅基压电陀螺仪的最高水平,其综合性能指标可与当前最先进的锆钛酸铅(PZT)环形陀螺仪相媲美。相关研究成果以“Design, Modeling, and Fabrication of a High-Q AlN Annular Gyroscope with Sub-10°/h Bias Instability”为题发表在Micromachines期刊上。
这项研究工作展示了一种基于AlN压电换能机制的高性能MEMS偏航陀螺仪,器件制备在〈111〉晶向单晶硅结构层上。该压电MEMS陀螺仪采用宽环形谐振器,在132 kHz下工作于面内酒杯模态(in-plane wineglass mode)。为最大化机电转换效率,研究人员建立了解析模型,将输出电荷与模态变形下面内应力面积相关联,并以此指导环形宽度的参数优化。通过对环形谐振器几何结构、可实现应变积分耦合最大化的电极布局,以及消除正面刻蚀释放孔的背面沟槽释放工艺进行协同设计,器件在保持结构完整性的同时,也维持了面内应力的连续性,从而能够有效抑制热弹性阻尼(TED)。

图1 基于AIN的压电环形MEMS陀螺仪示意图

图2 AlN压电环形MEMS陀螺仪的扫描电镜(SEM)图像

图3 AlN压电环形MEMS陀螺仪的制造工艺流程
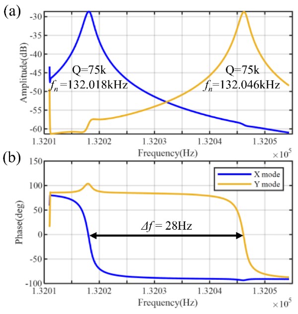
经实验验证,该AlN压电环形MEMS陀螺仪实现了75000的品质因数,为迄今已报道的硅基压电陀螺仪的最高水平。在开环速率模式下工作,其本征频率分裂为28 Hz,角随机游走为0.34°/√h,零偏不稳定性为8.19°/h,相关性能指标可与当前最先进的PZT基压电陀螺仪相媲美。更为关键的是,该优异性能是基于无铅且符合《关于限制在电子电器设备中使用某些有害成分的指令》(RoHS)规范的AlN压电层实现的。

图4 真空环境下(~0.01 Pa)MEMS陀螺仪(a)幅值与(b)相位的频率扫频曲线

图5 AlN压电环形MEMS陀螺仪的性能测试
这项研究表明,通过合理的结构与工艺协同优化,AlN压电环形MEMS陀螺仪的有望实现与PZT压电陀螺仪相当的性能水平,从而为高稳定性、环保合规型惯性传感器的发展提供了一条可持续的技术路径。
论文信息:https://doi.org/10.3390/mi17020268
延伸阅读:
《村田MEMS惯性测量单元(IMU)SCH1633产品分析》
《消费类MEMS惯性测量单元(IMU)产品对比分析-2022版》
《汽车级MEMS惯性测量单元(IMU)产品对比分析-2024版》
上一篇:光纤陀螺仪:架构、信号处理、误差补偿与新兴趋势
下一篇:基于局部热调谐的电感式环形MEMS陀螺仪:为恶劣环境而生!
