华中科大开发多功能MEMS谐振器,可实现双模传感和ppb级时钟
2025-12-06 20:41:27 来源:麦姆斯咨询 评论:0 点击:
长期以来,多功能MEMS谐振器的发展一直受限于将高灵敏度传感与高稳定性频率基准集成到单个紧凑器件中的挑战。这一局限性阻碍了精密传感、导航和信号处理等先进微系统的实现。
据麦姆斯咨询报道,近日,华中科技大学、鲁汶大学和澳门大学的研究人员组成的团队提出了一种为新兴的蓝边带激励(BSE)方案定制的新型MEMS谐振器,能够在适中的频率范围内实现多模态激励,并诱导复杂的非线性模态耦合。该器件为研究BSE诱导的模态相互作用提供了一个理想平台,并因其在约300 kHz附近存在的本征簇状振动模态而增强了BSE的优点。所提出的MEMS谐振器采用双余弦结构,能够产生丰富的平面内弯曲模态,同时保持电容换能机制,兼容标准SOI制造工艺。与两端固支(C-C)梁或双端调谐音叉(DETF)等传统设计相比,该器件无需MHz级频率或大跨度即可实现多模态工作,其多模态响应对于多参数测量和多功能应用至关重要。
研究人员对器件在BSE激励下的基本特性进行了测试验证,包括温度效应、静电力扰动敏感性及噪声基底。实验中,将谐振器的单一模态作为传感器使用,其最大灵敏度为39.6 mV/V,噪声基底为1.9 μV/√Hz(频率模态传感),而两种模态的频率和在1000 s时可提供1.5 ppb的稳定频率基准(幅值模态传感)。即使在温度和静电力扰动共同作用下,其长期稳定性仍保持在1000 s时约11.9 ppb的水平。
这些结果展示了所提出MEMS谐振器的双模传感与频率基准能力,克服了现有MEMS设计的基本限制,为先进集成微系统的应用开辟了新途径。上述研究成果以“A multi-functional MEMS resonator for simultaneously dual-mode physical sensing and ppb-level timing”为题发表于Microsystems & Nanoengineering期刊。
器件设计与工作原理
本文所提出的MEMS谐振器结构如图1a所示。所设计的谐振器为双余弦形谐振元件,采用MEMSCAP代工厂提供的SOIMUMPS工艺制造。与两端固支梁、悬臂梁以及双端调谐音叉等传统的谐振器结构相比,所提出的结构旨在在特定频率带内产生多个簇状谐振模态,并可在BSE下通过单一激励源同时驱动这些模态。

图1 本文所提出的MEMS谐振器结构与工作原理示意图
与传统的驱动方案相比(传统方案中激励频率等于谐振器的特定模态频率),BSE方案采用双模态激励方式。BSE可实现模态间的非线性能量传递,从而产生多模态响应,这对于多参数测量至关重要。器件的工作原理示意图如图1b所示。
基本特性测试
利用图2a中的实验设备,研究人员对所提出的MEMS谐振器的基本特性进行了测试。采用锁相放大器通过传统激励方法进行频率扫描得到的面内谐振模态如图2b所示,结果显示该器件能够产生六种不同的面内谐振模态。在不同BSE激励频率下获得的振动模态频率与幅值结果如图2c所示。

图2 实验设置以及MEMS谐振器在不同驱动方案和多种BSE频率下的频率响应特性
作为电容式传感器的性能评估
接下来的研究对器件施加了20 V的直流偏置,并以5 Vpp的激励幅值在BSE模式下驱动。BSE激励频率被设置为第一模态和第三模态频率之和,即fBSE = f1 + f3 = 112.364 kHz。在实验过程中,分别记录了各激励模态的静电力扰动灵敏度及温度-频率特性。
由图3a可见,不同谐振模态展现出差异化的灵敏度,其中f1模态对静电力作用最为敏感。各激励模态的温度-频率特性通过使用PTC10仪器将环境温度从28 °C逐渐提高至36 °C进行测量。部分模态呈现出反直觉的温度-频率变化行为:不仅f1模态,2f1与2f1 + f3模态也在温度升高时表现出频率上升,如图3b所示。这与典型MEMS谐振器的行为相反,后者通常因硅材料杨氏模量的温度系数(60–75 ppm/K)而表现为频率下降。

图3 MEMS谐振器作为电容式传感器的性能评估
根据各模态的温度特性可知,f1与f3模态的温漂较小(分别为0.96 Hz/°C、−0.33 Hz/°C),并且它们具有显著的静电力灵敏度(分别为39.6 mV/V、20.8 mV/V),使其适用于高性能传感任务。f1与f3模态的噪声基底约为1.9 μV/√Hz(图3d),优于大多数已报道的研究。
作为频率基准的性能评估
在上述部分中,部分模态表现出异常的温度-频率特性,其中2f1 + f3和f1 + 2f3模态具有几乎相同的漂移速率但方向相反(分别为1.76 Hz/°C和−1.79 Hz/°C)。基于这一特性,研究人员在无外部温度控制的自然环境下,验证了该系统作为稳定频率源的性能。
器件的稳定性评估测试结果如图4所示,单一模态的频率漂移最高达到约0.6 Hz(图4a),而两个模态的频率和在同一时间段内的漂移小于±0.05 Hz(图4b),有效补偿了温度引起的漂移。进一步的噪声基底与Allan偏差分析(图4c、4d)显示,与单一模态约0.4 ppm的Allan偏差相比,两个模态的频率和在1000 s时达到了1.5 ppb的优异稳定性,且二者在5 Hz处的噪声基底均为1.2 mHz/√Hz。显然,两个模态的频率和的稳定性远优于各单一模态,其稳定性提升达266倍,充分展示出其作为高稳定性频率源的应用潜力。

图4 自然环境中MEMS谐振器的频率基准功能的稳定性评估
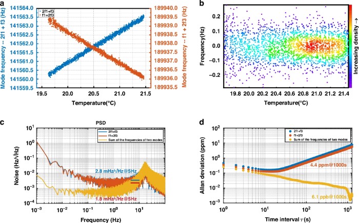
温度是影响频率发生器(时钟)稳定性的关键因素。为了验证温度稳定性,可通过抵消与温度相关的频率偏移来获得稳定的频率输出。基于这一原理,开展了进一步的实验验证,结果如图5所示。结果显示,两个模态的频率和在5 Hz处的噪声基底为1.8 mHz/√Hz,在1000 s时的Allan偏差达到6.1 ppb。单一模态在5 Hz的噪声基底为2.8 mHz/√Hz,其Allan偏差在1000 s时为4.4 ppm。由此可见,两个模态的频率和的噪声性能和稳定性均优于各单一模态,其稳定性提升了721倍。

图5 MEMS谐振器的频率基准功能的温度稳定性评估
在前述实验结果的基础上,本研究进一步开展了极端条件测试,即在静电力扰动与温度变化同时存在的情况下评估器件的稳定性,测试结果如图6所示。结果显示,两个模态的频率和在1000 s时的Allan偏差达到11.9 ppb。相比之下,单一模态在1000 s时的Allan偏差为5.7 ppm。此外,两个模态的频率和与单一模态在5 Hz处的噪声基底均为7.3 mHz/√Hz。显然,两个模态的频率和的稳定性明显优于各单一模态,其稳定性提升达479倍。

图6 温度与静电力扰动同时作用下的MEMS谐振器频率基准功能的稳定性评估
小结
综上所述,这项研究提出了一种具有双余弦微梁结构的新型MEMS电容式谐振器,该结构显著增强了蓝边带激励(BSE)方案。该MEMS谐振器在约300 kHz频率范围内表现出六个不同的面内谐振模态,可实现多模态同时激励,并支持模态间信息的多维处理。实验表明,该器件支持复杂的内部谐振和非线性模态耦合,为复杂声子相互作用和非线性动力学的研究开辟了新途径。
在传感应用方面,器件在f1模态下的静态静电力灵敏度为39.6 mV/V,5 Hz处噪声水平为1.9 μV/√Hz,显示出其作为高灵敏度传感器的潜力。值得注意的是,在BSE激励下,某些模态表现出相似但方向相反的温漂趋势,可用于独立或与传感模态协同的频率基准。
在频率基准应用方面,通过采用fBSE = f1 + f3,并结合2f1 + f3和f1 + 2f3两种模态,Allan偏差分析显示在自然条件下器件具有1000 s时1.5 ppb的优异稳定性。其性能在温度扰动下仍保持鲁棒性(6.1 ppb),即使同时受到温度与静电力扰动影响,长期稳定性也可维持在11.9 ppb。该器件通过标准SOI工艺在15 Pa环境下制造,无需额外温度补偿。其传感与时钟功能的集成,结合观测到的非线性模态耦合特性,为未来精密测量奠定了基础。
论文链接:https://doi.org/10.1038/s41378-025-01070-7
延伸阅读:
上一篇:MEMS开关厂商Menlo Micro取得重大里程碑式进展
下一篇:最后一页
